М
Молодежь
К
Компьютеры-и-электроника
Д
Дом-и-сад
С
Стиль-и-уход-за-собой
П
Праздники-и-традиции
Т
Транспорт
П
Путешествия
С
Семейная-жизнь
Ф
Философия-и-религия
Б
Без категории
М
Мир-работы
Х
Хобби-и-рукоделие
И
Искусство-и-развлечения
В
Взаимоотношения
З
Здоровье
К
Кулинария-и-гостеприимство
Ф
Финансы-и-бизнес
П
Питомцы-и-животные
О
Образование
О
Образование-и-коммуникации
таисия85
таисия85
22.11.2022 12:00 •  Математика

Смешан спирт двух сортов 70 градусов и 90 градусов. сколько литров спирта каждого сорта надо взять чтобы получить 16 л смеси имеющей крепкость 75

👇
Ответ:
Кatе
Кatе
22.11.2022

Возьмем X литров спирта первого сорта

Тогда второго необходимо взять 16 - X

В первой смеси 0.7 * X чистого спирта

Во второй 0.9 * (16 - X)

Всего в смеси будет (0.7 * X + 0.9 * (16 - X)) чистого спирта и он должен составлять 75% от 16 литров

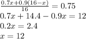
\frac{0.7x+0.9(16-x)}{16} =0.75\\0.7x+14.4-0.9x=12\\0.2x=2.4\\x=12

ответ: надо взять 12 литров спирта первого сорта и 4 литра спирта второго сорта

4,4(72 оценок)
Ответ:

Рассчитываем пропорции смеси на 1 литр.

75° - 70°= 5°  разница в крепости

90°- 75°=15°

Соотношение разности   1 : 3

1+3=4 части

1 л : 4 = 0,25 л

Для  1 литра смеси  берётся  0,25 л 70° спирта  и  0,75 л  90° спирта

На  16 л смеси  крепости 75°:   0,25*16= 4 л (70° спирта)  и  0,75*16= 12 л (90° спирта).

4,8(22 оценок)
Открыть все ответы
Ответ:
kettyperry16
kettyperry16
22.11.2022

Разложим многочлен у ^ 3 - 6 + 11 * у - 6 * у ^ 2 на множители .

Дополним выражение и получим 

y ^ 3 - y ^ 2 - 5 * y ^ 2 + 5 * y + 6 * y - 6 .

Сгруппируем и вынесем за скобки общие множители . Получим 

(y ^ 3 - y ^ 2) - (5 * y ^ 2 - 5 * y) + (6 * y - 6) = y ^ 2 * (у - 1) - 5 * у * (у - 1) + 6 * (у - 1) =

= (у - 1) * (y ^ 2 - 5 * у + 6) 

Для того , чтобы разложить многочлена y ^ 2 - 5 * у + 6 на множители , используем теорема Виета и получим :

y ^ 2 - 5 * у + 6 = (у - 2) * (у - 3) .

Получим 

(у - 1) * (y ^ 2 - 5 * у + 6) = (у - 1) * (у - 2) * (у - 3) .

ответ : (у - 1) * (у - 2) * (у - 3) .

4,5(37 оценок)
Ответ:
ЯнаLove7
ЯнаLove7
22.11.2022
2/7x=2 2/7
х=16\7*7\2
х=8

3/5y=2 9/10 - 1/5
3\5у=29\10-2\10
3\5у=27\10
у=27\10*5\3
у=9\2=4 1\2

3/7а+2/5=1
3\7а=1-2\5
3\7а=5\5-2\5
3\7а=3\5
а=3\5*7\3
а=7\5=1 2\5

3 1/3:r=1 1/3 : 2
10\3:r=4\3*1\2
10\3:r=2\3
r=10\3*3\2
r=5

y :1 1/2 =2 1/3*1/3
у:3\2=7\3*1\3
у:3\2=7\9
у=7\9*3\2
у=21\18=1 1\6

2/7х+3/7х = 2 7/14
5\7х=35\14
х=35\14*7\5
х=7\2=3 1\2
m+3/8m=1/4
8\8m+3\8m=1\4
11\8m=1\4
m=1\4*8\11
m=2\11

у - 2/9у = 4 2/3
9\9у-2\9у=14\3
7\9у=14\3
у=14\3*9\7
у=6

2/5z +2/3 - 7/15 = 2 1/2
2\5z=5\2-2\3+7\15
2\5z=75\30-20\30+14\30
2\5z=69\30
z=69\30*5\2
z=23\4=5 3\4
4,7(82 оценок)
Это интересно:
Новые ответы от MOGZ: Математика
logo
Вход Регистрация
Что ты хочешь узнать?
Спроси Mozg
Открыть лучший ответ