
ответ: см фото.
Объяснение:
1. y= (1/x) + 34
2.(не уверен, но вроде) y=∛(1-х^3 )
3. да
Объяснение:
1. как делается обратная функция: мы выражаем х через у, а потом в получившейся формуле меняем х на у
х-34=1/у
х=(1/у)+34
у=(1/х)+34
2. у^3=1-х^3
х^3=1-у^3
у=∛(1-х^3 )
3. что мы сделаем: мы возьмём произвольные х1 и х2, такие что х1>х2
и приведем к виду функции, если окажется, что выражение с х1 остается большим значит функция увеличивается, нет - наоборот.(не уверен в
х1>х2
-7х1<-7х2
10-7х1<10-7х2
выражение с х2 больше значит функция уменьшается, ответ да.
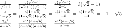
Объяснение:
используем формулу (a-b)(a+b)=a²-b²
числитель и знаменатель умножаем на сопряженное знаменателю число