М
Молодежь
К
Компьютеры-и-электроника
Д
Дом-и-сад
С
Стиль-и-уход-за-собой
П
Праздники-и-традиции
Т
Транспорт
П
Путешествия
С
Семейная-жизнь
Ф
Философия-и-религия
Б
Без категории
М
Мир-работы
Х
Хобби-и-рукоделие
И
Искусство-и-развлечения
В
Взаимоотношения
З
Здоровье
К
Кулинария-и-гостеприимство
Ф
Финансы-и-бизнес
П
Питомцы-и-животные
О
Образование
О
Образование-и-коммуникации
ник5046
ник5046
17.08.2020 08:35 •  Другие предметы

Сколько находится в 1 кубическом дециметре гектолитров

👇
Ответ:
loveinyourhard
loveinyourhard
17.08.2020
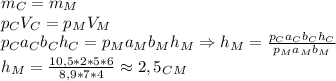
m_C=m_M\\ p_CV_C=p_MV_M\\ p_Ca_Cb_Ch_C=p_Ma_Mb_Mh_M\Rightarrow h_M= \frac{p_Ca_Cb_Ch_C}{p_Ma_Mb_M} \\ h_M= \frac{10,5*2*5*6}{8,9*7*4}\approx 2,5_C_M
4,5(97 оценок)
Открыть все ответы
Ответ:
DarinaDoka666
DarinaDoka666
17.08.2020
Побывал Одиссей в стране лотофагов, где некоторые его спут-ники, вкусив плодов лотоса, забыли обо всем на свете и не хотели возвращаться домой; сражался с чудовищным циклопом Полифемом. Посетил Одиссей бога ветров Эола, который дал Одиссею мех (кожаный мешок) со всеми ветрами, разрешив дуть лишь попутному Зефиру. Уже перед самой Итакой Одиссей заснул, а его спутники решили, что в мешке золото, развязали его, и ветры вырвались на свободу. Страшная буря отбросила корабль далеко от родных берегов. На флот Одиссея напали великаны-ле-стригоны и убили почти всех его товарищей. Сам Одиссей с одним уцелевшим кораблем прибыл на остров волшебницы Кирки (Цирцеи), которая превратила своих гостей в свиней. Уцелевшему Одиссею удалось выручить товарищей.
Много еще приключений выпало на долю Одиссея. Он побывал даже в царстве Аида — царстве мертвых. Благополучно миновал он остров сирен, заманивавших мореплавателей прекрасным пением; потерял нескольких товарищей, проплывая между чудовищами Сциллой и Харибдой (обратим внимание на выражение, ставшее фразеологизмом: между Сциллой и Харибдой). На острове Тринакрии товарищи Одиссея зарезали священных быков Гелио-са, за это Зевс разбил корабль Одиссея, все его спутники погибли, а он сам, уцепившись за обломок судна, спасся и попал на остров, где его семь лет держала в плену нимфа Калипсо. Она полюбила Одиссея, хотела, чтобы он женился на ней, обещая дать ему бессмертие. Наконец Одиссей вернулся на Итаку. Благодаря мужеству и находчивости он выдворил бесчинствовавших в его доме «женихов» своей жены Пенелопы, которая ждала его долгие годы, и обрел счастье и покой.
4,7(8 оценок)
Ответ:
Tw1mHero
Tw1mHero
17.08.2020
1.Герасим очень добрый ( об этом свидетельствует то, как он заботился о собаке) , покладистый (хороший работник) , дисциплинированный, я бы сказала, что он безвольный, потому как хозяйка приказала избавиться от собаки, а он последовал её требованию и утопил несчастное животное. ( о поледнем можешь не писать - не каждый препод поймёт).

3.Герасим очень добрый ( об этом свидетельствует то, как он заботился о собаке) , покладистый (хороший работник) , дисциплинированный, я бы сказал, что он безвольный, потому как хозяйка приказала избавиться от собаки, а он последовал её требованию и утопил несчастное животное. ( о поледнем можешь не писать - не каждый препод поймёт).

На 2, 3 ответа не нашлось
4,4(90 оценок)
Это интересно:
Новые ответы от MOGZ: Другие предметы
logo
Вход Регистрация
Что ты хочешь узнать?
Спроси Mozg
Открыть лучший ответ