М
Молодежь
К
Компьютеры-и-электроника
Д
Дом-и-сад
С
Стиль-и-уход-за-собой
П
Праздники-и-традиции
Т
Транспорт
П
Путешествия
С
Семейная-жизнь
Ф
Философия-и-религия
Б
Без категории
М
Мир-работы
Х
Хобби-и-рукоделие
И
Искусство-и-развлечения
В
Взаимоотношения
З
Здоровье
К
Кулинария-и-гостеприимство
Ф
Финансы-и-бизнес
П
Питомцы-и-животные
О
Образование
О
Образование-и-коммуникации
Мунира1306
Мунира1306
31.05.2020 15:58 •  Математика

6. укажите область определения функции: у = корень 1-2х+9 1) (-∞; 5 ] ; 2) [5; + ∞); 3) (5; +∞ ] ; 4) [- ∞; 5)

👇
Ответ:
gleb3003
gleb3003
31.05.2020
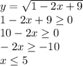
\sqrt{1-2x+9} 
\\1-2x+9 \geq 0\\10-2x \geq 0\\-2x \geq -10\\x \leq -10/(-2)\\x \leq 5
ответ - 1
4,7(9 оценок)
Ответ:
marjanazagurska
marjanazagurska
31.05.2020
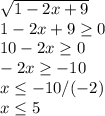
y= \sqrt{1-2x+9} \\ 1-2x+9 \geq 0 \\ 10-2x \geq 0 \\ -2x \geq -10 \\ x \leq 5 \\
x∈(-\infty;5]
ответ: 1) 
4,5(20 оценок)
Открыть все ответы
Ответ:
marina0510251
marina0510251
31.05.2020
Бумажные деньгиВ отличие от денежных металлов, которые сохраняют ценность даже спустя тысячелетия в любой стране, бумажные деньги сами по себе ценности не имеют. Курс бумажных денег гарантируется правительством или выпустившим их банком, а потому политические и экономические кризисы могут быстро их обесценить. Однако, несмотря на некоторые недостатки, функцию меры стоимости бумажные деньги выполняют так же успешно, как и металлические, а в роли средства обращения и платежа банкноты значительно удобнее. Банкнота (от английского bank-note - "банковский билет") - денежный знак, изготовленный из бумаги или пластика, который выпускается центральным банком государства и обязателен к приему на всей его территории. Вместе с монетами банкноты составляют систему наличных денег государства. Как правило, банкноты имеют больший номинал, чем монеты. История появления бумажных денег и их распространениеВ основе идеи денег лежит признание некоего товара (продукта) в качестве средства платежа. Древнейшая система расчета имела привязку к сельскому хозяйству: платежным средством тогда служили домашние животные и зерновые культуры. Например, в Древней Месопотамии расчетной "денежной" единицей было зерно, а японская феодальная система строилась на годовом урожае риса (коку). На следующем историческом этапе привилегированное положение в экономике различных стран прочно заняли металлические деньги. Первые бумажные деньгиВ Древнем Китае монеты были прямоугольной формы с отверстием посередине. Несколько таких монет можно было легко нанизать на веревку. Вскоре богатые торговцы обнаружили, что их денежные "ожерелья" довольно тяжелые, и носить их с собой неудобно. Чтобы решить эту проблему, торговцы стали оставлять монеты на хранение, а взамен получали расписку с указанием суммы. Нередко на этой расписке рисовали количество монет, которое она заменяла. По этому документу человек в любой момент мог забрать свои деньги обратно. Бумагу для печати денег китайцы изготавливали из коры тутового дерева. 
4,4(30 оценок)
Ответ:
SemenOr
SemenOr
31.05.2020
Очень часто внешний вид банкнототражает основные историческиесобытия в жизни государства,оформление купюр или монет часто содержит портреты политико-исторических персон, оставивших свой след в культуре и истории страны, а также указывает на главные культурные достижения данного государства, страны или народа.Считается, что современные купюры и монеты всех стран мира обладают общими функциями, основными из которых являются следующие:1) мера стоимости, характеризующая установленную цену всех товаров и услуг;2) средство обращения, выступающее в качестве посредника при обмене товаров;3) средство накопления; данную функцию выполняют деньги,участвующие в повседневном финансовом обороте;4) средство платежа, используемое при финансовых операциях с ссудами;5) функция мировых денег,характеризующая экономические взаимоотношения между физическими, юридическими лицами и государствами.
4,4(79 оценок)
Новые ответы от MOGZ: Математика
Полный доступ к MOGZ
Живи умнее Безлимитный доступ к MOGZ Оформи подписку
logo
Вход Регистрация
Что ты хочешь узнать?
Спроси Mozg
Открыть лучший ответ